Shvayba D. N. The use of trend models in forecasting indicators of socio-economic security statistics
Shvayba D. N. The use of trend models in forecasting indicators of socio-economic security statistics
Образец ссылки на эту статью: Shvayba D. N. The use of trend models in forecasting indicators of socio-economic security statistics // Бизнес и дизайн ревю. 2019. № 1 (13). С. 3.
УДК 338.2(476)+316.42(476)
Shvayba Dmitriy Nikolaevich
THE USE OF TREND MODELS IN FORECASTING INDICATORS OF SOCIO-ECONOMIC SECURITY STATISTICS
The Minsk regional organization of the Belarusian trade Union of workers of chemical, mining and petroleum industries, Minsk, Belarus (220140, St. Ciurlionis 8-37), candidate of economic Sciences, member of the State expert Council of the State Committee for science and technologies of Republic of Belarus, doctoral student of Belarusian national technical University, ORCID: 0000-0001-6783-9765, shvabia@tut.by, +375 29 652 06 03.
Abstract. The basic works on the problem of management do not fully address the issues of socio-economic security, and even more so in terms of the use of adequate tools and methods. Until now, the quality and difficulties of the socio-economic system have been little studied in the scientific literature, which affects the subject field of socio-economic security. The identification of fresh qualities of the system associated with its structure and largely determine its behavior would allow to form a model of management opinions of a different level and a different property, because. it reveals a wide range of opportunities for mathematical and computer modeling, forecasting the widespread use of computational technologies. To fill the gap in order to predict the statistical characteristics of socio-economic security, trend models are applicable.
Key words: socio-economic security; the government; society; enterprise; employee; threat; security; interests; Economics, analysis, system.
Швайба Дмитрий Николаевич
ИСПОЛЬЗОВАНИЕ ТРЕНДОВЫХ МОДЕЛЕЙ ПРИ ПРОГНОЗИРОВАНИИ ПОКАЗАТЕЛЕЙ СТАТИСТИКИ СОЦИАЛЬНО-ЭКОНОМИЧЕСКОЙ БЕЗОПАСНОСТИ
Минская областная организация Белорусского профсоюза работников химической, горной и нефтяной отраслей промышленности, Минск, Беларусь (220140, г. Минск, ул. Чюрлениса 8-37), кандидат экономических наук, член Государственного экспертного совета Государственного комитета по науке и технологиям Республики Беларусь, докторант Белорусского национального технического университета, ORCID: 0000-0001-6783-9765, shvabia@tut.by, +375 29 652 06 03.
Аннотация. В базовых работах по проблеме управления не в полной мере рассмотрены вопросы обеспечения социально-экономической безопасности, а тем более в части применения адекватных инструментальных средств и способов. До текущего момента в научной литературе, затрагивающей предметное поле социально-экономической безопасности, мало изучены качества и трудности социально-экономической системы. Выявление свежих качеств системы, связанных с ее структурой и во многом определяющих ее поведение разрешило бы формировать модели управленческих заключений иного уровня и иного свойства, т.к. тут раскрывается большой диапазон возможностей для математического и компьютерного моделирования, прогнозирования широкого использования вычислительных технологий. Для восполнения предоставленного пробела с целью прогнозирования статистических характеристик социально-экономической безопасности применим трендовые модели.
Ключевые слова: социально-экономическая защищенность; государство; общество; предприятие; работник; угроза; защищенность; интересы; экономика, анализ, система.
The basic works on the problem of management do not fully address the issues of socio-economic security, and even more so in terms of the use of adequate tools and methods. Until now, the quality and difficulties of the socio-economic system have been little studied in the scientific literature, which affects the subject field of socio-economic security [1, p.93]. Identification of fresh qualities of the system associated with its structure and largely determine its behavior would allow to form a model of management opinions of a different level and other properties, because. it reveals a wide range of possibilities for mathematical and computer modeling, forecasting the widespread use of computational technologies. To fill the provided spaces with the purpose of forecasting the statistical characteristics of the socio-economic security apply trend models [2, p. 161].
Trend models characterize the dependence of the members of the time series of characteristics of statistics on the number of the year and have the form [3]
where: n – number of data in the dynamic range of socio-economic security statistics.
The system of ordinary equations for estimating the characteristics of low-degree polynomials is simpler than the system (2).
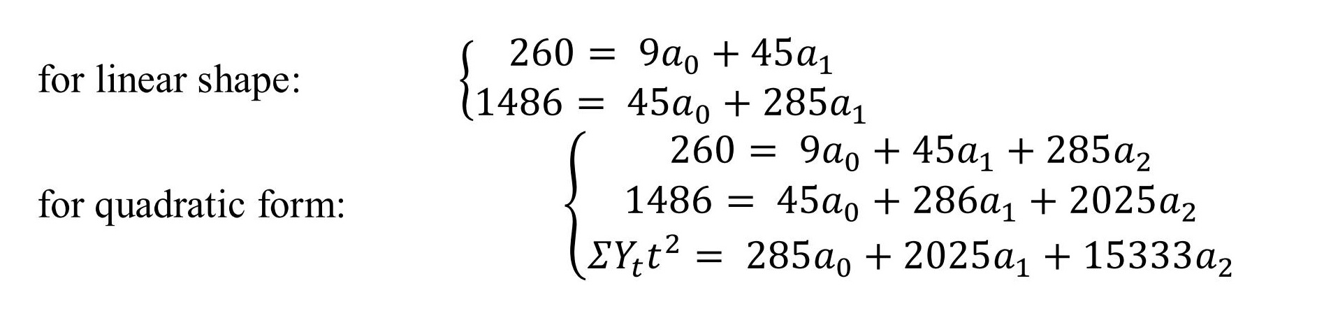
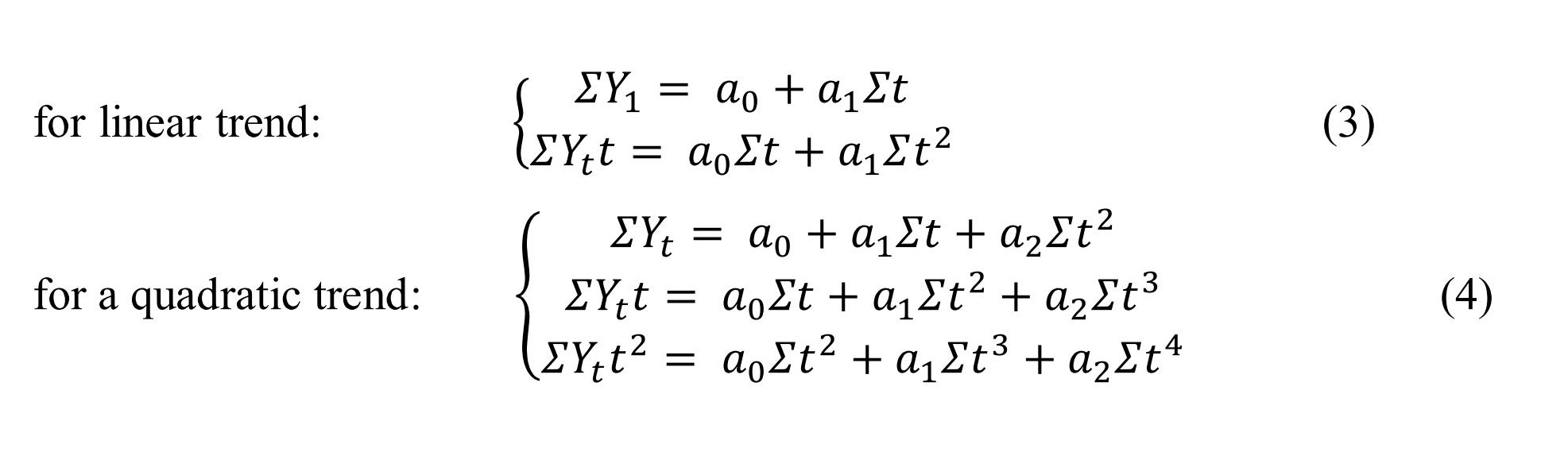
For example, systems of ordinary equations for estimating the characteristics of trend polynomials of linear and quadratic form have the form:

Characteristics you can get by using different approaches – Kramer, Gausa, Delitala, transfer the origin of coordinates, using tables, etc Method of application of the method of transferring the point coordinates and the use of tables prodemonstriruet in determining the performance trends in linear and quadratic form, for comparing the obtained results using the method of Kramer.
Table 1.
Preliminary calculations to calculate the parameters of linear and quadratic trends in the dynamics of the characteristics of socio-economic security data
Source: elaboration of author
After using the data obtained in table 1. indicators of the system of normal equations have the form:

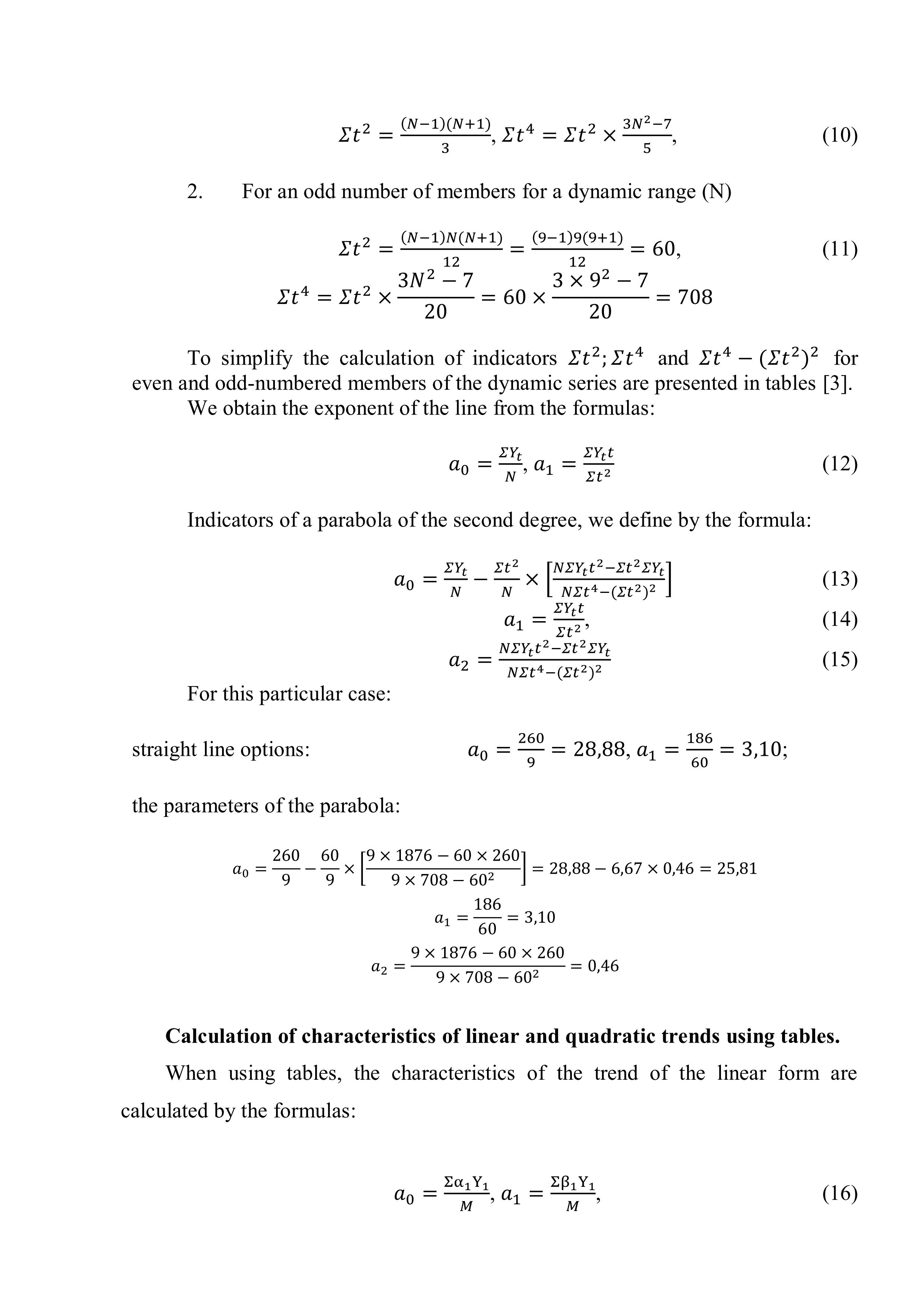
The characteristics of the linear shape trend are revealed by the solution of definitions:
The trend model will look like: Y=13,38+3,10t. Preliminary calculations are carried out to identify a quadratic parabola (as well as a higher order parabola). Thus having a determinant

Calculation of performance when transferring the origin of coordinates
This method contributes to the simplification of calculations of characteristics of trending patterns and involves the transfer of the origin in the middle of a number of speakers [4; 5]. The usual equations in the given case proceed as follows: 1) if the number of members of the dynamic series is odd-the Central member is assigned (0), and the remaining members of the dynamic series going up and down from the Central (1;2;3;-1;-2;-3) etc. 2) if the number of members of the dynamic series is even, then t 2-Central members is equal to 1 or - 1. For other members, as in the past case, t = 2(-2);3(-3) etc. The system of ordinary equations for determining the characteristics of the line will have the form:

Source: elaboration of author
Indicators can be obtained by formulas:


Table 3.
Preliminary intermediate calculations to calculate the characteristics of the linear trend using tables
Source: elaboration of author
Table 4.
Preliminary calculations to calculate the characteristics of the quadratic trend

Forecasting of data of social and economic security statistics can be carried out as follows:
- in the model obtained by the method of least squares and tables for the first year of the forecast period is inserted indicator etc. (11,12…,N);
- in the models formed by the series center shift to zero (conditional) for the first year of the study period, the value is substituted etc. (6,7,…, N).
Forecast indicator for 5 years are shown in table 5.
Table 5.
Forecasted value for 5 years
According to the quadratic model
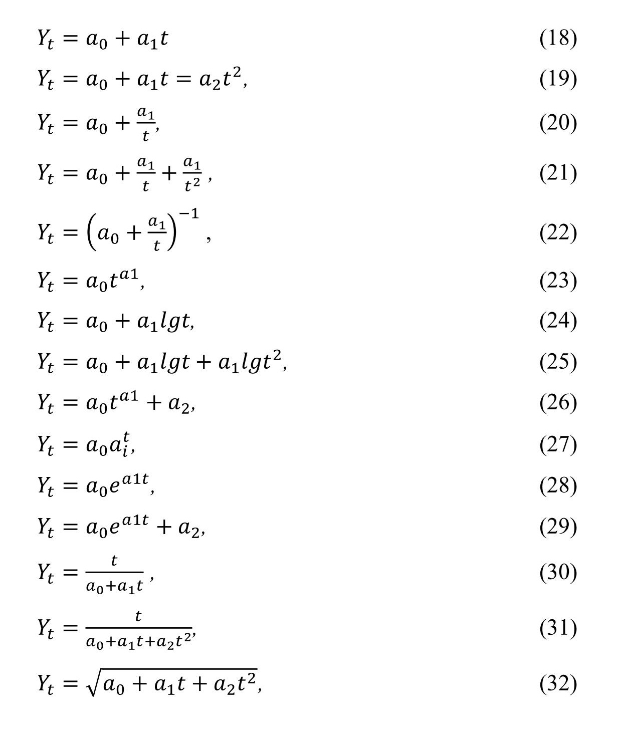
However, for more accurate calculations it makes sense to apply a large number of trends, the characteristics of which are calculated using computer applications. So, for example, the usual program "EMPIRICA" is an opportunity to build trends of the following forms:

Литература
References
Рецензенты:
Мальцева Е.С. – кандидат экономических наук, доцент, АНО ВО «Институт бизнеса и дизайна»
Проданова Н.А. – доктор экономических наук, профессор кафедры финансового анализа и аудита ФГБОУ ВО «РЭУ им. Г.В. Плеханова»
Работа поступила в редакцию: 20.12.2018 г.
УДК 338.2(476)+316.42(476)
Shvayba Dmitriy Nikolaevich
THE USE OF TREND MODELS IN FORECASTING INDICATORS OF SOCIO-ECONOMIC SECURITY STATISTICS
The Minsk regional organization of the Belarusian trade Union of workers of chemical, mining and petroleum industries, Minsk, Belarus (220140, St. Ciurlionis 8-37), candidate of economic Sciences, member of the State expert Council of the State Committee for science and technologies of Republic of Belarus, doctoral student of Belarusian national technical University, ORCID: 0000-0001-6783-9765, shvabia@tut.by, +375 29 652 06 03.
Abstract. The basic works on the problem of management do not fully address the issues of socio-economic security, and even more so in terms of the use of adequate tools and methods. Until now, the quality and difficulties of the socio-economic system have been little studied in the scientific literature, which affects the subject field of socio-economic security. The identification of fresh qualities of the system associated with its structure and largely determine its behavior would allow to form a model of management opinions of a different level and a different property, because. it reveals a wide range of opportunities for mathematical and computer modeling, forecasting the widespread use of computational technologies. To fill the gap in order to predict the statistical characteristics of socio-economic security, trend models are applicable.
Key words: socio-economic security; the government; society; enterprise; employee; threat; security; interests; Economics, analysis, system.
Швайба Дмитрий Николаевич
ИСПОЛЬЗОВАНИЕ ТРЕНДОВЫХ МОДЕЛЕЙ ПРИ ПРОГНОЗИРОВАНИИ ПОКАЗАТЕЛЕЙ СТАТИСТИКИ СОЦИАЛЬНО-ЭКОНОМИЧЕСКОЙ БЕЗОПАСНОСТИ
Минская областная организация Белорусского профсоюза работников химической, горной и нефтяной отраслей промышленности, Минск, Беларусь (220140, г. Минск, ул. Чюрлениса 8-37), кандидат экономических наук, член Государственного экспертного совета Государственного комитета по науке и технологиям Республики Беларусь, докторант Белорусского национального технического университета, ORCID: 0000-0001-6783-9765, shvabia@tut.by, +375 29 652 06 03.
Аннотация. В базовых работах по проблеме управления не в полной мере рассмотрены вопросы обеспечения социально-экономической безопасности, а тем более в части применения адекватных инструментальных средств и способов. До текущего момента в научной литературе, затрагивающей предметное поле социально-экономической безопасности, мало изучены качества и трудности социально-экономической системы. Выявление свежих качеств системы, связанных с ее структурой и во многом определяющих ее поведение разрешило бы формировать модели управленческих заключений иного уровня и иного свойства, т.к. тут раскрывается большой диапазон возможностей для математического и компьютерного моделирования, прогнозирования широкого использования вычислительных технологий. Для восполнения предоставленного пробела с целью прогнозирования статистических характеристик социально-экономической безопасности применим трендовые модели.
Ключевые слова: социально-экономическая защищенность; государство; общество; предприятие; работник; угроза; защищенность; интересы; экономика, анализ, система.
The basic works on the problem of management do not fully address the issues of socio-economic security, and even more so in terms of the use of adequate tools and methods. Until now, the quality and difficulties of the socio-economic system have been little studied in the scientific literature, which affects the subject field of socio-economic security [1, p.93]. Identification of fresh qualities of the system associated with its structure and largely determine its behavior would allow to form a model of management opinions of a different level and other properties, because. it reveals a wide range of possibilities for mathematical and computer modeling, forecasting the widespread use of computational technologies. To fill the provided spaces with the purpose of forecasting the statistical characteristics of the socio-economic security apply trend models [2, p. 161].
Trend models characterize the dependence of the members of the time series of characteristics of statistics on the number of the year and have the form [3]
where: n – number of data in the dynamic range of socio-economic security statistics.
The system of ordinary equations for estimating the characteristics of low-degree polynomials is simpler than the system (2).
For example, systems of ordinary equations for estimating the characteristics of trend polynomials of linear and quadratic form have the form:

Characteristics you can get by using different approaches – Kramer, Gausa, Delitala, transfer the origin of coordinates, using tables, etc Method of application of the method of transferring the point coordinates and the use of tables prodemonstriruet in determining the performance trends in linear and quadratic form, for comparing the obtained results using the method of Kramer.
Table 1.
Preliminary calculations to calculate the parameters of linear and quadratic trends in the dynamics of the characteristics of socio-economic security data
Source: elaboration of author
After using the data obtained in table 1. indicators of the system of normal equations have the form:

The characteristics of the linear shape trend are revealed by the solution of definitions:
The trend model will look like: Y=13,38+3,10t. Preliminary calculations are carried out to identify a quadratic parabola (as well as a higher order parabola). Thus having a determinant

Calculation of performance when transferring the origin of coordinates
This method contributes to the simplification of calculations of characteristics of trending patterns and involves the transfer of the origin in the middle of a number of speakers [4; 5]. The usual equations in the given case proceed as follows: 1) if the number of members of the dynamic series is odd-the Central member is assigned (0), and the remaining members of the dynamic series going up and down from the Central (1;2;3;-1;-2;-3) etc. 2) if the number of members of the dynamic series is even, then t 2-Central members is equal to 1 or - 1. For other members, as in the past case, t = 2(-2);3(-3) etc. The system of ordinary equations for determining the characteristics of the line will have the form:

Source: elaboration of author
Indicators can be obtained by formulas:
- For an even number of members for a dynamic range (N)


Table 3.
Preliminary intermediate calculations to calculate the characteristics of the linear trend using tables
Source: elaboration of author
Table 4.
Preliminary calculations to calculate the characteristics of the quadratic trend

Forecasting of data of social and economic security statistics can be carried out as follows:
- in the model obtained by the method of least squares and tables for the first year of the forecast period is inserted indicator etc. (11,12…,N);
- in the models formed by the series center shift to zero (conditional) for the first year of the study period, the value is substituted etc. (6,7,…, N).
Forecast indicator for 5 years are shown in table 5.
Table 5.
Forecasted value for 5 years
According to the quadratic model
However, for more accurate calculations it makes sense to apply a large number of trends, the characteristics of which are calculated using computer applications. So, for example, the usual program "EMPIRICA" is an opportunity to build trends of the following forms:

Литература
- Данильчук Л. А. Синергетический подход к изучению сущности социальных проблем / Л. А. Данильчук // Вектор науки Тольят. гос. ун-та. Сер.: Педагогика, психология, наука. 2013. № 2. С. 91–94.
- Пузиков В. В. Методы анализа и прогнозирования динамики показателей в оперативно-розыскной деятельности по обеспечению национальной безопасности Республики Беларусь / В. В. Пузиков, В. С. Гайдельцов, В. А. Трухов. Минск: Ин-т нац. безопасности Респ. Беларусь, 2003. 245 с.
- Четыркин Е. М. Статистические методы прогнозирования / Е. М. Четыркин. М.: Статистика, 1975. 184 с.
- Shvaiba D. (2018). Structural stability and socio-economic security of the hierarchical system. Bulletin of Science and Practice, 4(6), 233-239. Режим доступа: http://www.bulletennauki.com/shvaiba-d-n-2018 (дата обращения 06.2018). DOI: 10.5281/zenodo.1289852.
- Shvaiba D. (2018). Socio-economic security of the hierarchical system. Bulletin of Science and Practice, 4(6), 248-254. Режим доступа: http://www.bulletennauki.com/shvaiba-d-n (дата обращения 06.2018). DOI: 10.5281/zenodo.1289862.
References
- Danilchuk L. A. Sinergeticheskiy podkhod k izucheniyu suschnosti sotsialnykh problem / L. A. Danilchuk - Vektor nauki Tolyat. gos. un-ta. Ser.: Pedagogika, psikhologiya, nauka. 2013. no 2. pp. 91–94.
- Puzikov V. V. Metody analiza i prognozirovaniya dinamiki pokazateley v operativno-rozysknoy deyatelnosti po obespecheniyu natsionalnoy bezopasnosti Respubliki Belarus / V. V. Puzikov, V. S. Gaydeltsov, V. A. Trukhov. Minsk: In-t nats. bezopasnosti Resp. Belarus, 2003. 245 p.
- Chetyrkin E. M. Statisticheskie metody prognozirovaniya / E. M. Chetyrkin. M.: Statistika, 1975. 184 p.
- Shvaiba D. (2018). Structural stability and socio-economic security of the hierarchical system. Bulletin of Science and Practice, 4(6), 233-239. Rezhim dostupa: http://www.bulletennauki.com/shvaiba-d-n-2018 (data obrascheniya 15.06.2018). DOI: 10.5281/zenodo.1289852.
- Shvaiba D. (2018). Socio-economic security of the hierarchical system. Bulletin of Science and Practice, 4(6), 248-254. Rezhim dostupa: http://www.bulletennauki.com/shvaiba-d-n (data obrascheniya 15.06.2018). DOI: 10.5281/zenodo.1289862.
Рецензенты:
Мальцева Е.С. – кандидат экономических наук, доцент, АНО ВО «Институт бизнеса и дизайна»
Проданова Н.А. – доктор экономических наук, профессор кафедры финансового анализа и аудита ФГБОУ ВО «РЭУ им. Г.В. Плеханова»
Работа поступила в редакцию: 20.12.2018 г.